今年会jinnianhuicom
设为首页
加入收藏
网站首页
今年会jinnianhuicom
本科教学
研究生教育
学科科研
党群组织
学生工作
招生就业
护理技能综合训练中心
学院简介
组织机构
培养方案
教学基本文件
培养与管理
导师简介
党总支
理论导航
共青团
工会
学子天地
下载专区
朋辈帮扶
管理制度
招生计划
招生就业信息
就业学子风采
中心概况
实践教学
设备与环境
管理与规划
教学互动平台
实验中心介绍
规章制度
常用下载
学院动态
信息发布
当前位置:
网站首页
>
研究生教育
>
培养与管理
>
正文
今年会jinnianhuicom2024届李文博被哈尔滨医科大学“申请-考核”制录取为博士研究生
信息来源:
时间:25-04-18 14:00
点击数:
【
打印
】【
关闭
】
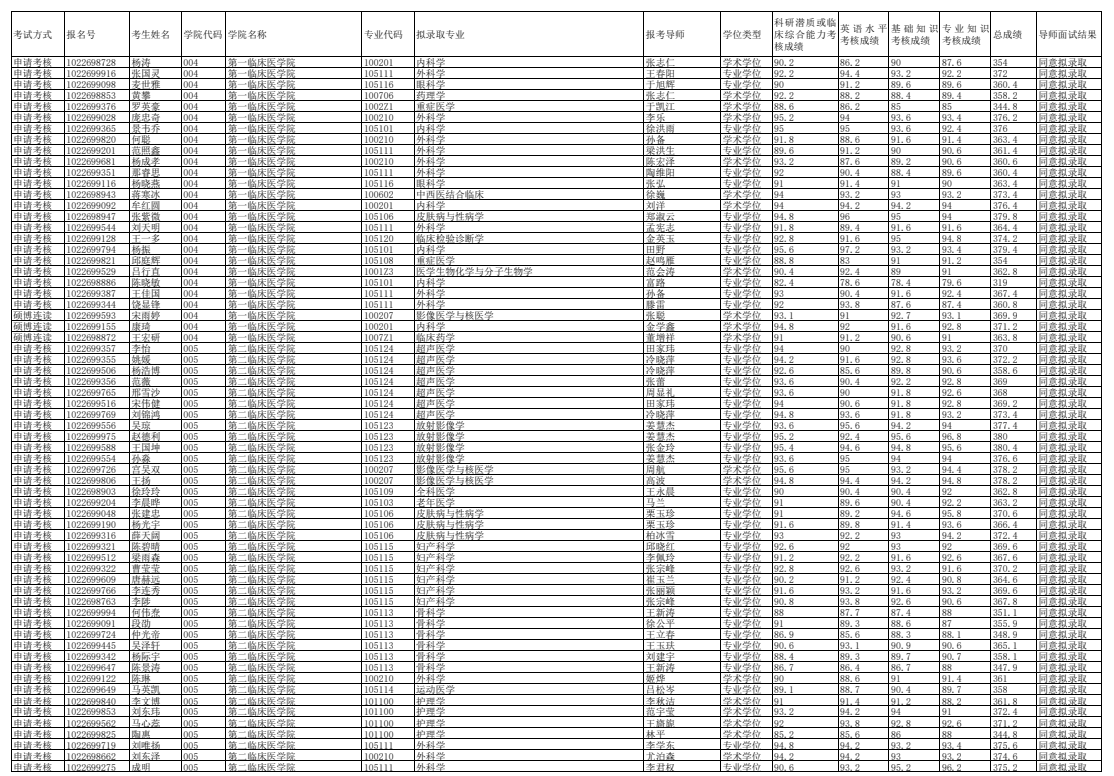
哈尔滨医科大学招收2024年“申请-考核”制(含硕博连读)博士研究生拟录取名单
上一篇:
2024届硕士研究生学位论文答辩会
下一篇:
今年会jinnianhuicom2024届毕业生省优秀研究生名单